図 目 次('91)
Homeに戻る

【本文目次へ】  【表目次へ】

2章
図1:観測飛行コース [標準図][縮小図]

図2:91-10-05気温(実線)および湿度(破線) [標準図]

図3:91-10-06気温(実線)および湿度(破線) [標準図]

図4:91-10-07気温(実線)および湿度(破線) [標準図]

図5:91-10-08気温(実線)および湿度(破線) [標準図]

図6:91-10-10気温(実線)および湿度(破線) [標準図]

図7:91-10-11気温(実線)および湿度(破線) [標準図]

図8:流跡線解析調査地域 [標準図][縮小図]

図9:流跡線図1991年10月5日12時20分 [標準図][縮小図]

図10:流跡線図1991年10月5日13時20分 [標準図][縮小図]

図11:流跡線図1991年10月5日14時20分 [標準図][縮小図]

図12:流跡線図1991年10月6日13時7分 [標準図][縮小図]

図13:流跡線図1991年10月6日14時7分 [標準図][縮小図]

図14:流跡線図1991年10月6日15時7分 [標準図][縮小図]

図15:流跡線図1991年10月7日12時20分 [標準図][縮小図]

図16:流跡線図1991年10月7日13時20分 [標準図][縮小図]

図17:流跡線図1991年10月7日14時40分 [標準図][縮小図]

図18:流跡線図1991年10月8日13時40分 [標準図][縮小図]

図19:流跡線図1991年10月8日14時55分 [標準図][縮小図]

図20:流跡線図1991年10月8日15時40分 [標準図][縮小図]

図21:流跡線図1991年10月10日12時26分 [標準図][縮小図]

図22:流跡線図1991年10月10日13時51分 [標準図][縮小図]

図23:流跡線図1991年10月10日15時16分 [標準図][縮小図]

図24:流跡線図1991年10月11日11時42分 [標準図][縮小図]

図25:流跡線図1991年10月11日12時42分 [標準図][縮小図]

図26:流跡線図1991年10月11日13時57分 [標準図][縮小図]

4章
図1:91-10-05オゾン、NOx、高度のプロファイル [標準図]

図2:91-10-06オゾン、NOx、高度のプロファイル [標準図]

図3:91-10-07オゾン、NOx、高度のプロファイル [標準図]

図4:91-10-08オゾン、NOx、高度のプロファイル [標準図]

図5:91-10-10オゾン、NOx、高度のプロファイル [標準図]

図6:91-10-11オゾン、NOx、高度のプロファイル [標準図]

5章
図1−1:与論島→長崎間フライト時(10月6日)の炭化水素
     分布結果[標準図][縮小図]

図1−2:(続き) [標準図][縮小図]

図1−3:(続き) [標準図][縮小図]

図2−1:長崎→ソウル間フライト時(10月7日)の炭化水素
     分布結果[標準図][縮小図]

図2−2:(続き) [標準図][縮小図]

図2−3:(続き) [標準図][縮小図]

図3−1:新潟→長崎間フライト時(10月11日)の炭化水素
     分布結果[標準図][縮小図]

図3−2:(続き) [標準図][縮小図]

図3−3:(続き) [標準図][縮小図]

7章
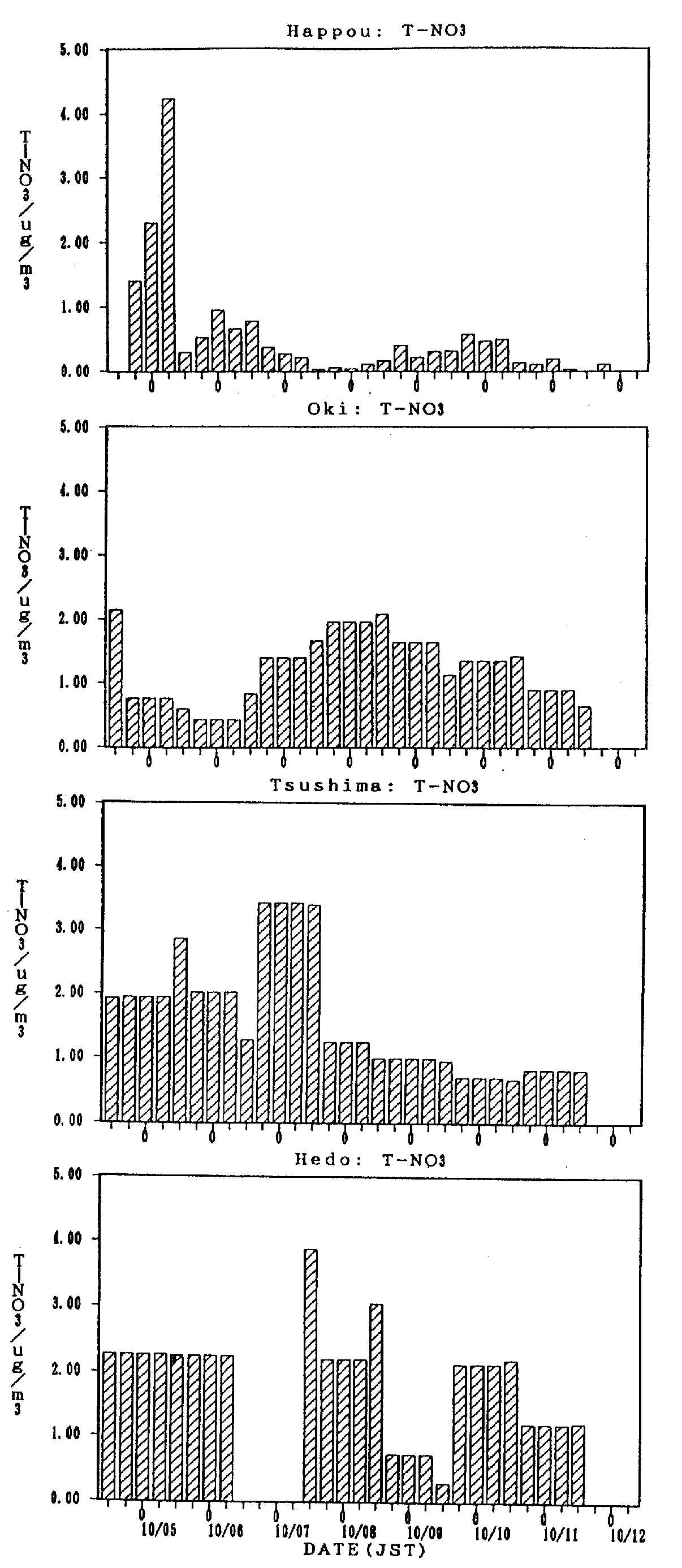
図1:全硝酸塩の濃度変動 [標準図][縮小図]

図2:各地における非海塩性硫酸塩濃度の比較
   [標準図][縮小図]

図3:各地におけるメタンスルホン酸濃度の比較
   [標準図][縮小図]

図4:隠岐島における大気中メタンスルホン酸濃度の変動
   [標準図][縮小図]

図5―1:Alの濃度変動 [標準図][縮小図]

図5―2:Siの濃度変動 [標準図][縮小図]

図5―3:Sの濃度変動 [標準図][縮小図]

図5―4:Clの濃度変動 [標準図][縮小図]

図5―5:Kの濃度変動 [標準図][縮小図]

図5―6:Caの濃度変動 [標準図][縮小図]

図5―7:Tiの濃度変動 [標準図][縮小図]

図5―8:Vの濃度変動 [標準図][縮小図]

図5―9:Crの濃度変動 [標準図][縮小図]

図5―10:Mnの濃度変動 [標準図][縮小図]

図5―11:Feの濃度変動 [標準図][縮小図]

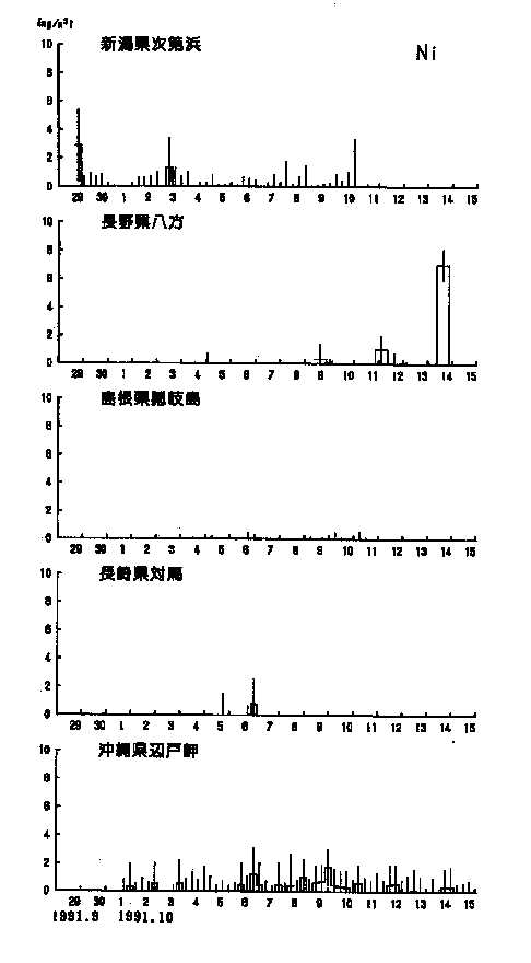
図5―12:Niの濃度変動 [標準図][縮小図]

図5―13:Cuの濃度変動 [標準図][縮小図]

図5―14:Znの濃度変動 [標準図][縮小図]

図5―15:Pbの濃度変動 [標準図][縮小図]

図5―16:Naの濃度変動 [標準図][縮小図]

8章
図1: [標準図][縮小図]

図2: [標準図][縮小図]

図3: [標準図][縮小図]

図4: [標準図][縮小図]

図5: [標準図][縮小図]

図6: [標準図][縮小図]

図7: [標準図][縮小図]

図8: [標準図][縮小図]

図9: [標準図][縮小図]

9章
図1:対馬における大気中微量ガス濃度(SO、HCl、HNO
   HNO)の経時変化、1991年10月4〜11日
   [標準図][縮小図]

図2:Variation of SO2 concentration at OKI, TUSHIMA,
   OKINAWA (Oct., 1991) [標準図][縮小図]

図3:Variation of HCl concentration at OKI, TUSHIMA,
   OKINAWA (Oct., 1991) [標準図][縮小図]

図4:SO2 concentration as a function of altitude in the
   troposphere (Oct. 5-11, 1991) [標準図][縮小図]

10章
図1:大気中のPANの濃縮捕集装置 [標準図][縮小図]

図2:大気中のPANの時刻変動(対馬、1991年10月5日〜8日)
   [標準図][縮小図]

図3:PANとPPNとの関係(対馬、1991年10月5日〜8日)
   [標準図]

11章
図1:隠岐におけるCOおよびO濃度変化 [標準図]

12章
図1:トラジェクトリー(八方尾根、1991 10/4〜10)
   [標準図][縮小図]

図2:オゾン、PANおよびBe-7濃度の経時変化
   [標準図][縮小図]

図3:大気汚染物質濃度の経時変化(八方尾根)
   [標準図][縮小図]

図4:粒子状物質の成分組成(八方尾根) [標準図][縮小図]

図5:VOC濃度の経時変化 [標準図][縮小図]

図6:雨水中の成分濃度(八方尾根) [標準図][縮小図]

図7:雨水の成分組成(八方尾根) [標準図][縮小図]


【本文目次へ】  【表目次へ】  【UP】

Copyright(c) Center for Global Environmental Research
All rights reserved