図1:平成4年度観測飛行コース [標準図][縮小図] 図2:92-11-08の気温(細線)および湿度(太線) [標準図] 図3:92-11-10の気温(細線)および湿度(太線) [標準図] 図4:92-11-11の気温(細線)および湿度(太線) [標準図] 図5:92-11-12の気温(細線)および湿度(太線) [標準図]
図2:92-11-08の気温(細線)および湿度(太線) [標準図]
図3:92-11-10の気温(細線)および湿度(太線) [標準図]
図4:92-11-11の気温(細線)および湿度(太線) [標準図]
図5:92-11-12の気温(細線)および湿度(太線) [標準図]
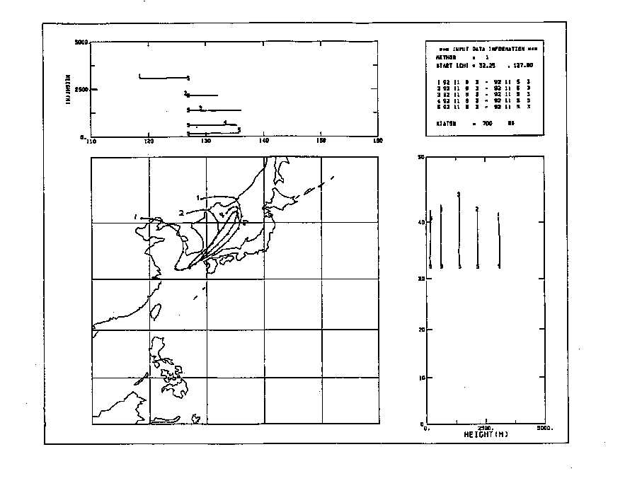
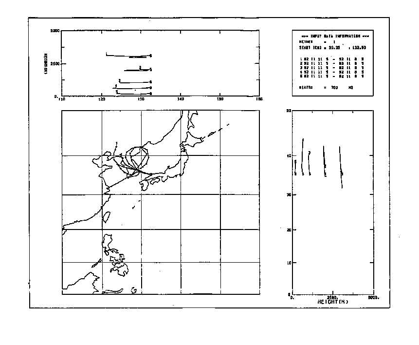
図1:11月8日のC地点からの流跡線 [標準図][縮小図] 図2:11月 8日のD地点からの流跡線 [標準図][縮小図] 図3:11月10日のC地点からの流跡線 [標準図][縮小図] 図4:11月10日のD地点からの流跡線 [標準図][縮小図] 図5:11月11日のA地点からの流跡線 [標準図][縮小図] 図6:11月11日のB地点からの流跡線 [標準図][縮小図] 図7:11月12日のA地点からの流跡線 [標準図][縮小図] 図8:11月12日のB地点からの流跡線 [標準図][縮小図] 図9:11月4-8日の隠岐島からの流跡線(850hPa) [標準図][縮小図] 図10:11月9-15日の隠岐島からの流跡線 (850hPa) [標準図][縮小図] 図11:11月4-8日の隠岐島からの流跡線 (1000hPa) [標準図][縮小図] 図12:11月9-15日の隠岐島からの流跡線 (1000hPa) [標準図][縮小図]
図2:11月 8日のD地点からの流跡線 [標準図][縮小図]
図3:11月10日のC地点からの流跡線 [標準図][縮小図]
図4:11月10日のD地点からの流跡線 [標準図][縮小図]
図5:11月11日のA地点からの流跡線 [標準図][縮小図]
図6:11月11日のB地点からの流跡線 [標準図][縮小図]
図7:11月12日のA地点からの流跡線 [標準図][縮小図]
図8:11月12日のB地点からの流跡線 [標準図][縮小図]
図9:11月4-8日の隠岐島からの流跡線(850hPa) [標準図][縮小図]
図10:11月9-15日の隠岐島からの流跡線 (850hPa) [標準図][縮小図]
図11:11月4-8日の隠岐島からの流跡線 (1000hPa) [標準図][縮小図]
図12:11月9-15日の隠岐島からの流跡線 (1000hPa) [標準図][縮小図]
図1:92-11-08のO3、SO2、NOx、NOの プロファイル [標準図] 図2:92-11-10のO3、SO2、NOx、NOの プロファイル [標準図] 図3:92-11-11のO3、SO2、NOx、NOの プロファイル [標準図] 図4:92-11-12のO3、SO2、NOx、NOの プロファイル [標準図]
図2:92-11-10のO3、SO2、NOx、NOの プロファイル [標準図]
図3:92-11-11のO3、SO2、NOx、NOの プロファイル [標準図]
図4:92-11-12のO3、SO2、NOx、NOの プロファイル [標準図]
図1:航空機搭載型の試料採取装置のフロー ダイヤグラム [標準図][縮小図] 図2:隠岐におけるPANおよびPPNの測定結果 [標準図][縮小図] 図3:隠岐でのPANとPPNとの関係 [標準図][縮小図] 図4:航空機調査でのPANとPPNとの関係 [標準図][縮小図] 図5:航空機調査による観測結果 図5−1: 長崎 [標準図][縮小図] 図5−2: 出雲 [標準図][縮小図] 図6:航空機調査でのPANおよびPPNとNOxとの 関係 [標準図][縮小図]
図2:隠岐におけるPANおよびPPNの測定結果 [標準図][縮小図]
図3:隠岐でのPANとPPNとの関係 [標準図][縮小図]
図4:航空機調査でのPANとPPNとの関係 [標準図][縮小図]
図5:航空機調査による観測結果
図5−1: 長崎 [標準図][縮小図]
図5−2: 出雲 [標準図][縮小図]
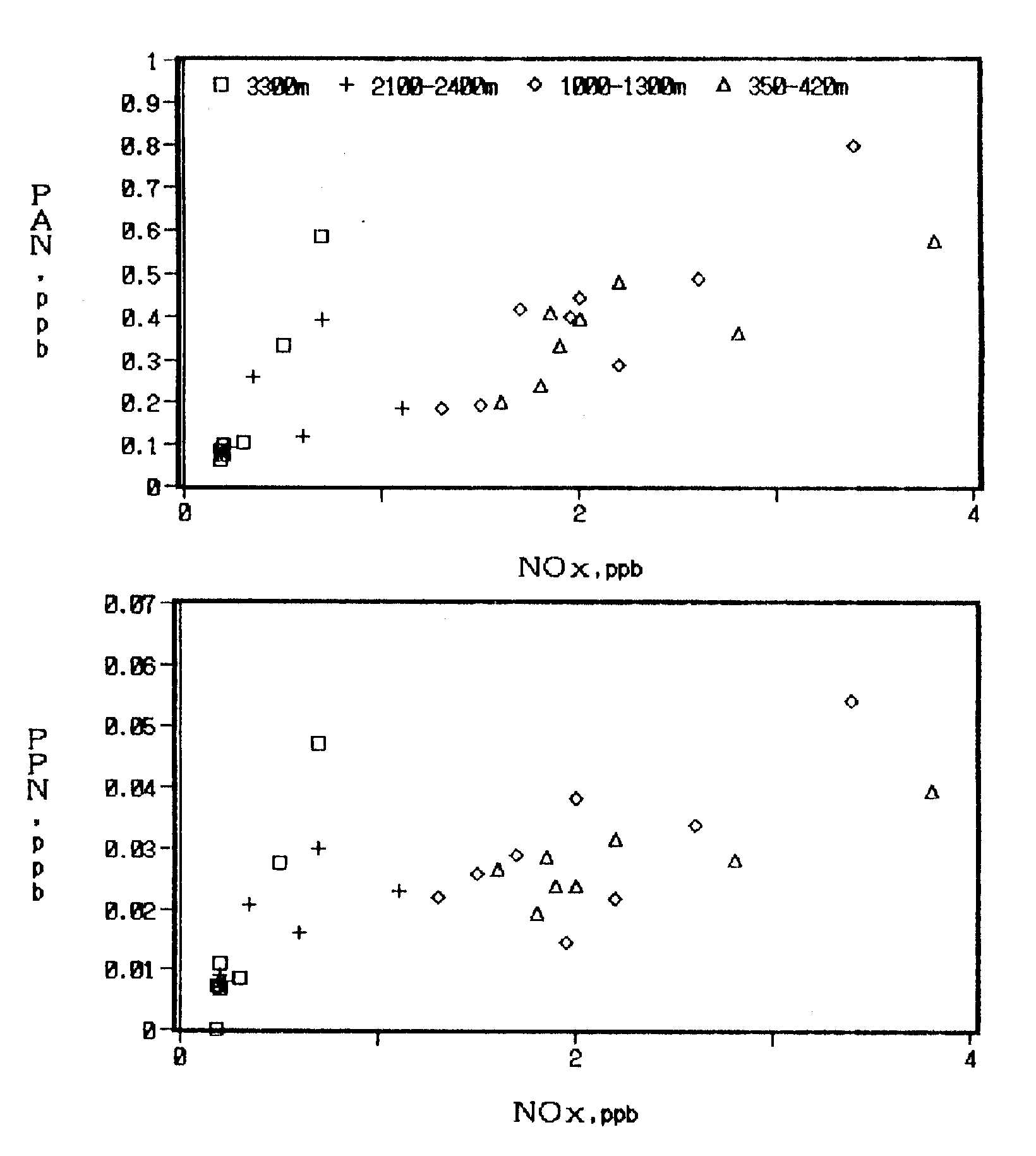
図6:航空機調査でのPANおよびPPNとNOxとの 関係 [標準図][縮小図]
図1:大気中微量ガス濃度の経時変化 図1−1: HCOOH [標準図] 図1−2: HCl [標準図] 図1−3: HNO2 [標準図] 図1−4: HNO3 [標準図] 図1−5: SO2 [標準図]
図1−1: HCOOH [標準図]
図1−2: HCl [標準図]
図1−3: HNO2 [標準図]
図1−4: HNO3 [標準図]
図1−5: SO2 [標準図]
図1:大気中エアロゾル成分の高度分布 [標準図][縮小図] 図2:大気中エアロゾル成分の高度分布 [標準図][縮小図]
図2:大気中エアロゾル成分の高度分布 [標準図][縮小図]
図1:隠岐島におけるガス、エアロゾル組成の変動 [標準図][縮小図] 図2:隠岐島におけるエアロゾル中の陽イオンの 変動 [標準図][縮小図] 図3:観測期間におけるエアロゾル中の鉛同位体 比の日変化 [標準図][縮小図] 図4:1000hPaの流跡線 [標準図][縮小図]
図2:隠岐島におけるエアロゾル中の陽イオンの 変動 [標準図][縮小図]
図3:観測期間におけるエアロゾル中の鉛同位体 比の日変化 [標準図][縮小図]
図4:1000hPaの流跡線 [標準図][縮小図]
図1:オゾン、PAN濃度の経時変化 [標準図][縮小図] 図2:大気中粒子状物質の組成 [標準図][縮小図] 図3:大気汚染物質濃度の経時変化 [標準図][縮小図] 図4:粒子状物質中の陽イオン、陰イオンの経時 変化 [標準図][縮小図] 図5:大気汚染物質の組成 [標準図][縮小図] 図6:大気、霧、雨中のSO4--、NO3-濃度の経時 変化 [標準図][縮小図] 図7:霧、雨の成分組成 [標準図][縮小図] 図8:八方尾根に到達した気塊の流跡線 図8−1:(11月4日) [標準図][縮小図] 図8−2:(11月5日) [標準図][縮小図] 図8−3:(11月6日) [標準図][縮小図] 図8−4:(11月7日) [標準図][縮小図] 図8−5:(11月8日) [標準図][縮小図] 図8−6:(11月9日) [標準図][縮小図] 図8−7:(11月10日) [標準図][縮小図] 図8−8:(11月11日) [標準図][縮小図] 図8−9:(11月12日) [標準図][縮小図] 図8−10:(11月13日) [標準図][縮小図] 図8−11:(11月14日) [標準図][縮小図] 図8−12:(11月15日) [標準図][縮小図]
図2:大気中粒子状物質の組成 [標準図][縮小図]
図3:大気汚染物質濃度の経時変化 [標準図][縮小図]
図4:粒子状物質中の陽イオン、陰イオンの経時 変化 [標準図][縮小図]
図5:大気汚染物質の組成 [標準図][縮小図]
図6:大気、霧、雨中のSO4--、NO3-濃度の経時 変化 [標準図][縮小図]
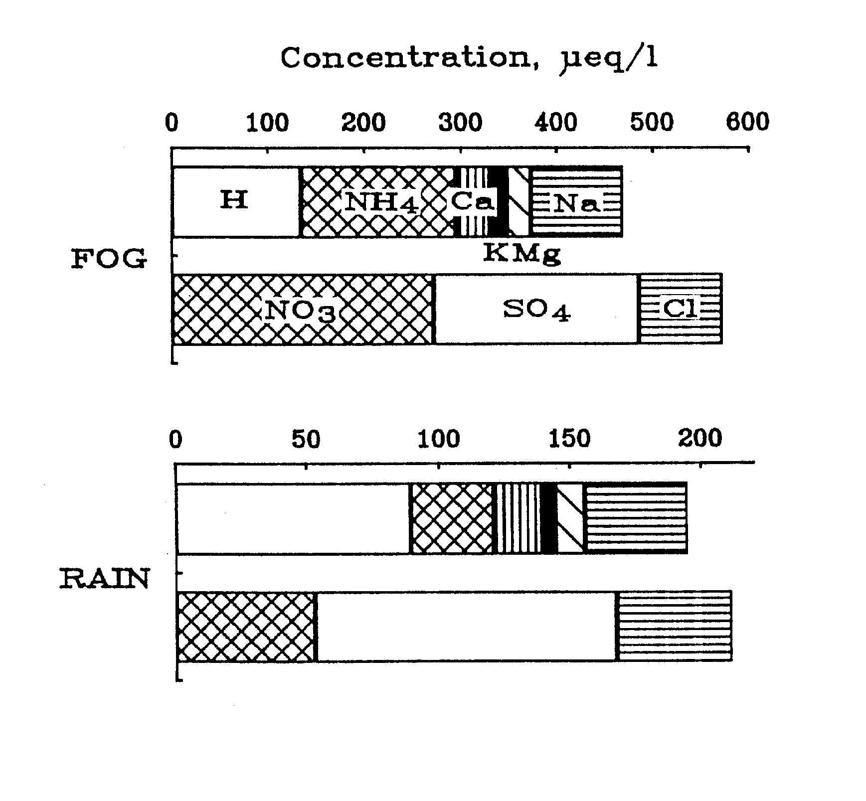
図7:霧、雨の成分組成 [標準図][縮小図]
図8:八方尾根に到達した気塊の流跡線
図8−1:(11月4日) [標準図][縮小図]
図8−2:(11月5日) [標準図][縮小図]
図8−3:(11月6日) [標準図][縮小図]
図8−4:(11月7日) [標準図][縮小図]
図8−5:(11月8日) [標準図][縮小図]
図8−6:(11月9日) [標準図][縮小図]
図8−7:(11月10日) [標準図][縮小図]
図8−8:(11月11日) [標準図][縮小図]
図8−9:(11月12日) [標準図][縮小図]
図8−10:(11月13日) [標準図][縮小図]
図8−11:(11月14日) [標準図][縮小図]
図8−12:(11月15日) [標準図][縮小図]
図1:試料捕集地点 [標準図][縮小図] 図2:SO4--濃度の日変化 [標準図][縮小図] 図3:Celm濃度の日変化 [標準図][縮小図] 図4:NO3-濃度の日変化 [標準図][縮小図] 図5:850hPa等圧面における風向・風速ベクトル [標準図][縮小図]
図2:SO4--濃度の日変化 [標準図][縮小図]
図3:Celm濃度の日変化 [標準図][縮小図]
図4:NO3-濃度の日変化 [標準図][縮小図]
図5:850hPa等圧面における風向・風速ベクトル [標準図][縮小図]